四大公式
1. 加法公式 (Addition Law)
核心功能: 计算多个事件中至少一个发生的概率。
关键词: “或” (OR)
公式:
任意事件: P(A∪B)=P(A)+P(B)−P(A∩B) 「P(A+B)」
互斥事件 (A和B不能同时发生): P(A∪B)=P(A)+P(B)
注意: 使用时首先要判断事件是否互斥,如果可能同时发生,切记减去重叠部分 P(A∩B)。
2. 乘法公式 (Multiplication Law)
核心功能: 计算多个事件同时发生的概率。
关键词: “与”、“和”、“同时” (AND)
公式:
任意事件: P(A∩B)=P(A)×P(B∣A)
独立事件 (A的发生不影响B): P(A∩B)=P(A)×P(B)
注意: 使用时首先要判断事件是否独立。P(B∣A) 是条件概率,指在A发生的条件下B发生的概率。
3.全概率公式 (Total Probability Formula)
核心功能: 当一个结果 (A) 可由多个互斥的原因 (B1,B2,...) 导致时,用此公式计算结果 (A) 发生的总概率。被称为“由因求果”。
核心思想: “化整为零,聚零为整”——把复杂事件A的概率,分解为在各种原因 Bi 下发生的概率之和。
公式:

解题步骤:
找到完备事件组 Bi (所有可能的原因)。
确定每个原因的概率 P(Bi)。
确定每个原因下,结果A发生的条件概率 P(A∣Bi)。
将以上各项“加权求和”。
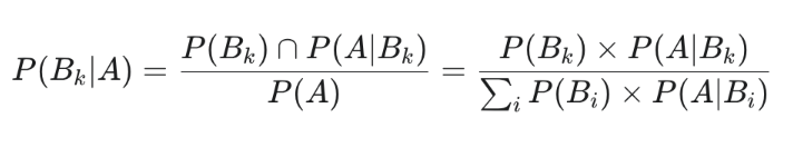
4. 贝叶斯公式 (Bayes' Theorem)
核心功能: 在已知结果 (A) 已经发生的情况下,反过来推断它是由某个特定原因 (Bk) 导致的概率。被称为“执果索因”。
核心思想: 利用新信息(结果A)来更新我们对原因 Bk 发生可能性的认知。
公式:

注意:
分子是导致该结果的特定路径的概率。
分母是该结果发生的所有可能路径的概率之和(即全概率公式)。
一维随机变量及其分布总结
在概率论和统计学中,随机变量是研究随机现象的核心工具。一维随机变量特指其所有可能取值为一维实数的变量。
1. 随机变量的基本概念
随机变量 (Random Variable) 是一个变量,其值是随机事件的结果。简单来说,它是对随机试验结果的数值描述。通常用大写字母 X,Y,Z 等表示。
一维随机变量 是指其所有可能取值可以用一维数轴上的点来表示的随机变量。
根据取值的特点,一维随机变量可以分为两类:
离散型随机变量 (Discrete Random Variable): 变量的全部可能取值是有限个或可列举的无限个。例如,抛硬币正面出现的次数、一天内网站的访问人数等。
连续型随机变量 (Continuous Random Variable): 变量的全部可能取值可以取某一区间内的任意实数。例如,一个人的身高、零件的寿命、室外温度等。
2. 离散型随机变量及其分布
2.1 概率质量函数 (Probability Mass Function, PMF)
对于离散型随机变量 X,我们用 概率质量函数(也称分布律)来描述其概率分布。它给出了 X 取每个可能值的概率。
记 X 的可能取值为 x1,x2,…,xn,…,其分布律为:
P(X=xi)=pi,i=1,2,…
分布律必须满足以下两个性质:
非负性: pi≥0
归一性: ∑i=1∞pi=1
2.2 常见离散分布

1.两点分布(伯努利分布)
小故事:
假设工厂现有100件零件,其中正品90件,次品10件。有位工人现在随机从这100件零件中挑选1件,那么他挑选出正品的概率为0.9,即 正品P(X=正品)=p=0.9 。
定义:
若随机变量X的取值为0和1两种情况,且满足概率分布 P(X=1)=p,P(X=0)=1−p ,则X服从参数为 p 的两点分布。
2.二项分布(n重伯努利分布)
小故事:
还是上一位工人,他现在独立重复的挑了n个零件,则他挑出k件正品的概率为 个零件中有个正品P(X=n个零件中有k个正品) 。简单来说就是,我们进行了n次独立重复的伯努利实验,其中事件A发生的次数是一个随机变量。
定义:
若随机变量X的取值为 ,,,0,1,...,n ,且满足概率分布 P(X=k)=(nk)pk(1−p)n−k ,则称X服从参数为 n,p 的二项分布, X∼B(n,p) 。
3.泊松分布
小故事:
还是那位工人,假设他现在不停歇的挑选零件,则挑出正品零件的个数是一个随机变量。
定义:
若随机变量X的取值为全体非负整数 ,,,0,1,2,... ,且满足概率分布 P(X=k)=1k!λke−λ,(λ>0) ,则称X服从参数 λ 的泊松分布。
4.超几何分布
小故事:
假设现在共有N个零件,D个不合格,现在这位工人不再一个一个的挑零件了,他一次性的挑出n个零件,则n个零件中不合格零件出现次数是一个随机变量。
定义:
若随机变量X的取值为 ,,,0,1,...,min{D,n} ,且服从概率分布 P(X=k)=CDkCN−Dn−kCNn,0≤k≤min{D,n} ,则称X服从超几何分布。
5.几何分布
小故事:
某枪手连续向目标进行射击,假设他射中目标的概率为p,则他首次射中目标所需的射击次数是一个随机变量。
定义:
若随机变量X的取值为全体正整数,且满足概率分布 P(X=k)=(1−p)k−1p ,则称X服从参数p的几何分布。
6.负二项分布
小故事:
还是那位枪手,现在他决定射中r次目标后停止,则他停止所需的射击次数是一个随机变量。
定义:
若随机变量X的取值为 r,r+1,... ,且满足概率分布 P(X=k)=(k−1r−1)pr−1(1−p)k−rp ,则称X满足参数p的负二项分布。
7.离散均匀分布
这个分布就很简单啦,比如抽签,买彩票等。
定义:
若随机变量X的取值为 ,,,1,2,...N,N>1 ,且满足概率分布 P(X=k)=1N ,则称X服从离散均匀分布。考点归纳
考点1:分布率(表格)

这类分布率的题目,我们需要记忆的是先求取值再求概率罗列表格!
3. 连续型随机变量及其分布
3.1 概率密度函数 (Probability Density Function, PDF)


4. 分布函数 (Cumulative Distribution Function, CDF)

正态分布

这里需要注意这个公式需要满足标准正态分布才可以使用也就是N(0, 1),下图是更完整的公式图,这类题目的核心要点就是把正态分布标准化,然后利于标准化的一些公式进行计算,这里需要注意要背下来正态分布函数的密度函数公式,这个没那么好记住!

标准化的目的拿到大
,可以利用公式5,,
考点归纳
考点1:计算密度函数/分布函数

考点2:以分布函数计算区间概率(连续)

考点3: 基于规范性去计算未知量

因为分布函数是单调的增加,最大是1,所以说F(正无穷)是等于1的,这里反之亦然,可以利用这个特性去计算一些特殊的东西,比如说这里的(2)是因为根据f(x)计算出来的F(x)是积分对应关系有未知数 c1 和 c2,利用概率规范性可以计算得到这些常量的确切值!
考点4:计算一个自变量X的分布

考点5: 计算离散函数的分布(联合,边缘,条件)

考点6: 计算连续函数的密度函数

切比雪夫不等式

期望与方差



协方差\相关系数(离散)


三大分布

连续函数的相关系数

公式没变化就是替换了方差和期望的计算公式,连续性的期望为取值密度再积分,例如
未知参数的估计量



无偏性与有效性


二维连续随机变量的分布率


